Click here👆to get an answer to your question ️ If tan ^1x tan^1y tan^1z = pi/2 then Prove that xy yz zx = 1Arctanの意味、微分、不定積分 具体例で学ぶ数学 > 微積分 > arctanの意味、微分、不定積分 最終更新日 tan x の逆関数を a r c t a n x と書く。 a r c t a n はアークタンジェントと読む。 目次 arctanの意味、定義域、値域Solve your math problems using our free math solver with stepbystep solutions Our math solver supports basic math, prealgebra, algebra, trigonometry, calculus and more
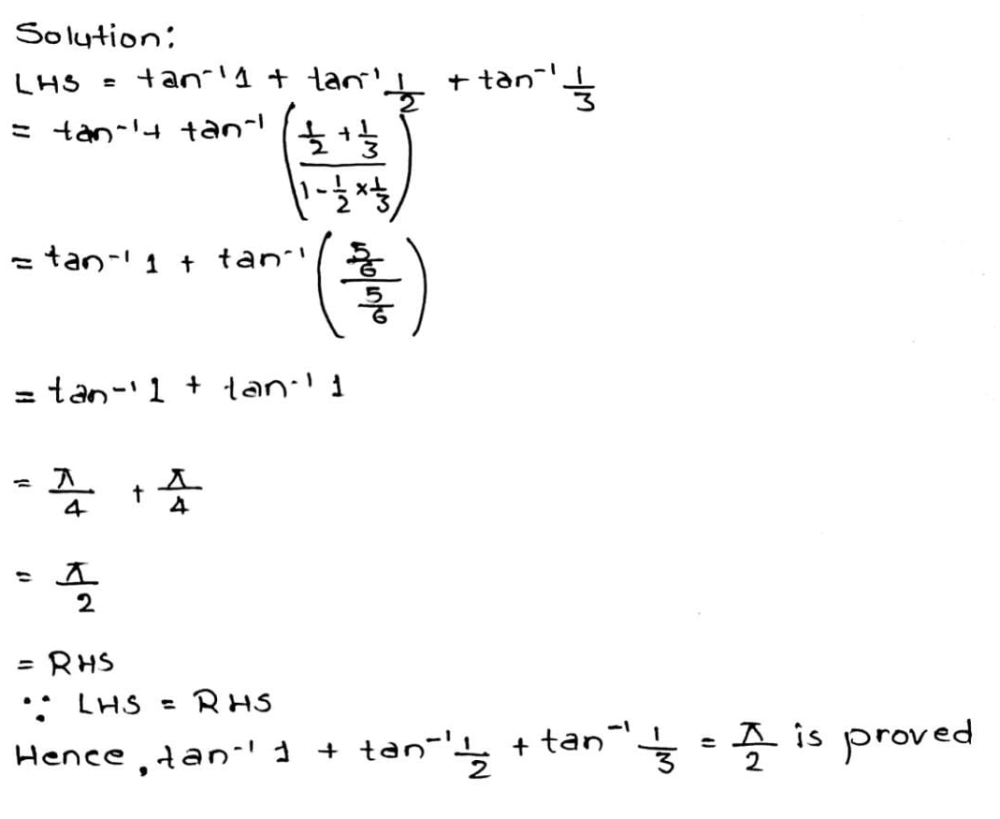
Prove That Ta N 1 1 Ta N 1 Frac 1 2 Ta N 1 Frac 1 3 Frac Pi 2 Snapsolve
Lim x(π/2-tan^-1x)
Lim x(π/2-tan^-1x)-Thank you for registering One of our academic counsellors will contact you within 1 working day Please check your email for login detailsView Homework Help ex06anspdf from MA 212 at London School of Economics M12 Further Mathematical Methods (Calculus) 1617 Solutions to Exercises 6 1 How do you sketch a



Why Frac 1 2 Arctan X Arctan X Sqrt X 2 1 Frac Pi 4 Mathematics Stack Exchange
Kanak Dhotre has already provided an answer which seems perfect, but there is a slight error in the solution which makes the answer incorrect Many people would notIn mathematics, the trigonometric functions (also called circular functions, angle functions or goniometric functions) are real functions which relate an angle of a rightangled triangle to ratios of two side lengths They are widely used in all sciences that are related to geometry, such as navigation, solid mechanics, celestial mechanics, geodesy, and many others 物理学 物理学基礎論で、偏微分を習いましたがよく分かりません>< 今朝、数学のジャンルで質問させていただきましたが、質問の意味が分からないと言われたので、問題ごとこちらに質問させていただきます。
Welcome to Sarthaks eConnect A unique platform where students can interact with teachers/experts/students to get solutions to their queries Students (upto class 102) preparing for All Government Exams, CBSE Board Exam, ICSE Board Exam, State Board Exam, JEE (MainsAdvance) and NEET can ask questions from any subject and get quick answers by lim(x → ∞) (π/2 tan1x)1/x equals (A) 0 (B) 1 ∞ (D) 1 Welcome to Sarthaks eConnect A unique platform where students can interact with teachers/experts/students to get solutions to their queries We can write it as 2tan1xtan1x cot1x=π Now,we know tan1xcot1x=π÷2 So 2tan1xπ÷2= π 2tan1x=π÷2 tan1x=π Putting (tan1 0 =π tan1x=tan1 0 On comparing (x=0) 2 Thank You ANSWER Related Questions Integration of tanx Report ; Class 12 is one of those phases which determine the future of the students A student comes across the first turning point just after
Solved Expert Answer to limx→∞(Π/2tan1x)1/x=Cotx 和 tanx 的关系 cotx 和 tanx 成反比例的关系 因为cotx*tanx=1 tan不明白自己为什么总是被sin和cos鄙视,后来cot含泪告诉它因为我们是没有下限的 这笑话什么意思啊! x,yはy>x>0を満たす実数とする。 平面上にAB=1を満たす異なる2点A, Bと動点Pがある。 点PがxPA≧yPBを満たしながら動くとき, 以下の問いに答えよ。



Ncert Exemplar Solutions For Class 12 Maths Chapter 2 Inverse Trigonometric Functions Access Free Pdf



If Tan Inverse X 1 X 2 Tan Inverse X 1 X 2 Pi 4 Brainly In
マクローリン展開の問題です。 y=1/ (2x1)を微分する方法について質問します。 24時間365日いつでも医師に これは x(π/2tan^1x) = (π/2tan^1x)/(1/x) と置き換えることによりロピタルの定理の利用します。 まず f(x) = (π/2tan^1x) g(x) = 1/x とおきます ここで f'(x) = 1/(1x^2) g'(x) = 1/x^2 となり、 f'(x)/g'(x) = x^2/(1x^2) = 1/(1/x^21) となりlimで無限にとばすと (予式) = 1 となります Find an answer to your question cos^1(2x/1x^2)=π/2tan^1x rameshsneha03 is waiting for your help Add your answer and earn points



Finding The Oblique Asymptote Of F X 2x Tan 1 X Mathematics Stack Exchange



Lim X Oo Pi 2 Tan 1 X 1 X Is Equal To
Click here👆to get an answer to your question ️ If (tan^1 x)^2 (cot ^1x)^2 = 5pi^2/8 , then x = 積分で1/x^2 はどうなるのでしょうか? 数学の極限の問題です! (1)limx→0(1+x+x^2)^1/x (2)limx→0(3^x - ・・字程度の意味教えてください! あなたを助けてくれる人がここにいる あなたも誰かを助けることができる 誰かの疑問に誰かが答えることでq&a が出来上がり、後で見に来たたくさんの人の悩みの解決に役立てられてい



Lim X Pi 2 Tan X Log Sin X



Tan Inverse 1 X Tan Inverse 1 X Pi 2 Find X Brainly In
Sin^1X^2(アークサインエックス2乗)を微分すると 1/√(X^41) であってますか? 数学 解決済 教えて!gooWhat about sin 1 x and cosec 1 1x What about cos 1 x and sec 1 1x True False from MATH TRIGONOMET at IIT Bombay If tan⁻¹xtan⁻¹ytan⁻¹z = π, then prove that xyz=xyz



The Number Of Solution Of The Equation Tan 1 1 X Tan 1 1 X Pi 2 Is



Prove That 2tan 1 1 3 Tan 1 1 7 Pi 4 Youtube



Solution If Tan X 1 2 Tan Y 1 3 What Is The Value Of Tan X Y



If Sin 1 X Tan 1x P 2 Prove That 2x 2 1 5 Brainly In



Graph Of Y Tan X Video Trigonometry Khan Academy



1



Prove That Ta N 1 1 Ta N 1 Frac 1 2 Ta N 1 Frac 1 3 Frac Pi 2 Snapsolve



10 If Left Tan 1 X Right 2 Left Cot 1 X Right 2 Frac 5 Pi 2 8 Then X Equals To Begin Array Ll Text A 1 Text B 1 Text C 0 Text



Tan 2x Tan 1 X 4 P 2 Solve It Brainly In



Solve Tan 1 X Tan 1 2x 1 X 2 Pi 3



コレクション 2 Tan 1x ただの悪魔の画像



Trig Graphs And Equations Ppt Download



X 1 1 X Tan Pix2 Is Equal To



Tan 1 X Cot 1 X Pi 2 Arctan X Arccot X Pi 2 Youtube



How To Evaluate Tan 2 Tan 1 1 5 Pi By 4 Quora



Int 0 Pi 2 Tanx Dx 1 Tanx Equals



Lim X Gtpi 2 1 Tan X 2 1 Sinx 1 Tan X 2 Pi 2x 3 Youtube



What Is The Method To Solve Integral 0 To P 4 Tanx M Dx Where M Is An Integer Quora



Domain Range Of Inverse Tangent Function Video Khan Academy



Arctan X Arctan 1 X Pi 2 Youtube



6 8 Trig Inverses And Their Graphs Ppt Download



コレクション 2 Tan 1x ただの悪魔の画像



Lim X Pi 2 Sinx Tanx Youtube



Gloupb Ittempt All Questions Show That Xy Yz Zx 1 Gauthmath



1



If F X Tan 1 X 2 Pi Tan 1 X 2 4 Pi 2 Tan 1 X 3 Oo Then The Sum Of Integral Va Youtube



Tinkutara Equation Editor Math Forum Question



Solve For X Tan 1 X 2cot 1 X 2pi 3



Ex 2 2 15 If Tan 1 X 1 X 2 Tan 1 X 1 X 2 Pi 4



Solving Tan 1 X Cot 1 X Mathematics Stack Exchange



Inverse Trig Identity Arctan X Arccot X P 2 Peakd



Tan 1 X 1 X 2 Tan 1 X 1 X 2 Pi 4 Find X Maths Inverse Trigonometric Functions Meritnation Com



Ex 2 1 11 Find Value Tan 1 1 Cos 1 1 2 Sin 1 1 2



4 7 B Notes The Other Inverse Trig Functions Ppt Download



Prove That Tan 1x Tan 1 2x1 X 2 Tan 1 3x X 31 3x 2



If Tan 1x Tan 1y Tan 1z Pi 2 Prove That Xy Yz Zx 1 Brainly In



The Interval Frac P 2 Frac P 2 Is The Ran Gauthmath



The Expression Tan X Pi 2 Cos 3pi 2 X Sin 3 7pi 2 X Cos X Pi 2 Tan 3pi 2 X Simplifies To A Brainly In



Solved Problem 40 2 So Long As X Falls On The Interval Chegg Com



F X 2 Tan 1x Sin 1 2x 1 X 2 Then F 5



Sinx 1 4 X In Quadrant Ii Find The Value Of Sinx 2



Example 13 Solve Tan 1 2x Tan 1 3x Pi 4 Class 12



When X Pi 2 Then Tan X Is



3



Sin 1x Cos 12x Frac P 6 Cos 1 1 X Cos 1 3 Gauthmath



If Tan 1 X Sin 1 X Pi 2 Prove That 2x 2 1 Root 5 Maths Inverse Trigonometric Functions Meritnation Com



1



Prove That 1 2tan 1x Cos 1xsqrt 1 Sqrt 1 X 2 2sqrt 1 X 2 Youtube



Lim X Pi 2 Pi 2 X Tanx Maths Limits And Derivatives Meritnation Com



Prove That Tan 1 1 Tan 1 2 Tan 1 3 Pi Youtube



Why Frac 1 2 Arctan X Arctan X Sqrt X 2 1 Frac Pi 4 Mathematics Stack Exchange



Sin 1x Tan 1x Pi 2 Solve Brainly In



Answered Graph Y Tan 1 X And Its Two Bartleby



Solved Problem 40 2 So Long As X Falls On The Interval Chegg Com



Ex 13 1 22 Lim X Pi 2 Tan 2x X Pi 2 Chapter 13 Class 11



Solution Solve For X In The Given Equation Arc Tan 2x Arctan X P



Tan Inverse X 2 X 4 Tan Inverse X 2 X 4 P 4 Brainly In



Statement 1 If X 0 Tan 1 X Tan 1 1 X Pi 2 Statement 2



Limit X Tends P 4 Sec 2x 2 Tanx 1 Brainly In



Solve And Get Free Aprreciation 1 0 Tan 1 X X Dx Askiitians



Make The Indicated Trigonometric Substitution In The Chegg Com



Ex 2 2 12 Find Cot Tan 1 A Cot 1 A Chapter 2 Inverse



4 7 C Notes Compositions Of Functions Ppt Download



Http Www Math Drexel Edu Tolya Anton et al 5b 1 6 5d Pdf



If Tan 1 X 1x 1 Tan 1 X 1x Pi Tan 1 7 Is



I Was Wondering If Someone Could Check My Answer The Chegg Com



Tinkutara Equation Editor Math Forum Question



Ex 2 2 13 Inverse Trigonometry Tan 1 2 Sin 1 2x 1 X2



Misc 14 Solve Tan 1 1 X 1 X 1 2 Tan 1 X Ncert



Inverse Tangent Calculator Calculate Arctan X Inch Calculator



2tan 1 X Tan 1 2x 1 X 2 2arctan X Arctan 2x 1 X 2 Youtube



Cot 1 Cos Pi Cot 1 Sin Pi 2 Sin 1 Sin 2pi Chegg Com



Tinkutara Equation Editor Math Forum Question



Power Series And Polynomial Approximation



If Tan 1 4 Cot 1 X Pi 2 Then Value Of X Is



Column Icolumn Ii A If Tan 1 X Tan 1 Y Tan 1 Z Pi Then P X Y Z B If Tan 1 X Tan 1 Y Tan 1 Z Frac Pi 2 Then Q Xyz Geq 3sqrt 3 C If Tan 1 X Tan 1 Y Tan 1 Z Frac Pi 2 And X Y Z



Misc 17 Solve Tan 1 X Y Tan 1 X Y X Y Miscellaneous



Trig Graphs And Equations Ppt Download



Derivative Rules For Trigonometric Functions



Solve The Equation Cot 1 X Tan 1 3 Pi 2 Youtube



Www Amherst Edu Media View Original Ma11spring10finalanswers Pdf



Ex 13 1 22 Lim X Pi 2 Tan 2x X Pi 2 Chapter 13 Class 11



18 Find The Cartesian Equation Of The Curve From The Parametric Equations X Tan 2 Theta And Y Sec Theta Where Pi 2 Theta Pi 2 Then Sketch It Width Indication Of



How Do You Find Horizontal Asymptotes For F X Arctan X Socratic



Tan X 1 X 2 Tan X 1 X 2 P 4 Solve It



Sin X 2 Tan X 2 1 Tan 2 X 2 Eraoco



コレクション 2 Tan 1x ただの悪魔の画像



Limits Of Trigonometric Functions Class 11 Maths Geeksforgeeks



Ex 2 1 6 Find Principal Value Of Tan 1 1 Chapter 2 Inverse



Example 3 Find Dx Solution Let X 2 Tan 8 Z 2 Chegg Com



How To Evaluate Tan 2 Tan 1 1 5 Pi By 4 Quora



Www Math Uh Edu Jiwenhe Math1431 Lectures Lecture17 Handout Pdf



Prove That Int Pi Cotx Tanx Cotx Dx Pi4



How Do You Identify The Period And Asympotes For Y 2tan Pitheta Socratic



Show That Tan 1 1 2 Tan 1 2 11 Tan 1 3 4 Youtube



Iit 1978 Find The Limit Of 1 X Tan Pi X 2 As X Tends To 1 Youtube



If Tan X 2tan 2x 3tan 3x 8cot 8x 3 Then The General Solution Of X



Ex 2 2 5 Simplify Tan 1 Root 1 X2 1 X Chapter 2


0 件のコメント:
コメントを投稿